矽微機械諧振器的奇異點增強傳感
- 作為一款數位鎖相放大器,HF2LI 的可測量頻率範圍從直流 DC 到 50 MHz,取樣速率可達 210 MSa/s,非常適合 MEMS(比如陀螺儀)應用和微流控應用的測量。
- 以下文章來源於Microsystems Nanoengineering ,作者黃慶安教授團隊。
- 東南大學黃慶安教授團隊首次提出並驗證了宇稱-時間(PT)對稱的矽微機械諧振器。PT對稱諧振器由兩個耦合在一起的相同諧振器組成,但一個具有損耗,另一個具有等量增益,論文中用外部回饋電路實現增益。把PT對稱諧振器初始偏置在奇異點(EP),外部小的擾動會導致系統工作頻率按照平方根分裂。該研究為超高靈敏度的矽諧振感測器發展鋪平了道路。
文章亮點
- 處在EP的系統對小擾動表現出強烈的回應。因此,基於EP的感測器最近在光學、光子學和電子學中受到了極大的關注。在這篇文章中,該課題組探索了EP在微機電系統(MEMS)中的增強傳感。
- 該文提出了一個簡單的MEMS實驗裝置,它顯示了具有PT對稱性系統中遇到的所有現象:一對矽微機械諧振器,一個有增益,另一個有損耗。該裝置可直接觀察從實本征頻譜到複本征頻譜的相變。
- 該課題組證明,當在EP下工作時,矽諧振感測器的靈敏度可以提高。在機械耦合彈簧上引入的小擾動導致頻率從EP分裂到PT對稱區域,而不會加寬兩個頻譜線寬。
研究背景
矽諧振器通常用於諧振感測器,該類感測器已實現電荷、品質、位移、加速度和磁傳感等應用。其基本原理是:需要感測的參數,即物理上的小擾動,引起諧振器的有效剛度變化或品質變化,導致其諧振頻率偏移。傳統上,頻移形式的輸出信號具有准數位性質,因此,可將類比輸出信號中出現的不準確度降至最低。然而,頻率偏移僅與小擾動成正比,靈敏度較低。基於弱耦合諧振器的模式局域化效應,以振幅比形式作為輸出的諧振感測器則提供了高靈敏度,但監測類比輸出的電壓或電流幅度,誤差較大。因此,需要開發一種在保持高精度的同時提供高靈敏度的諧振感測器。
該文提出了PT對稱矽微機械諧振器,其中把閉環回饋電路主動控制的等效增益結合到一個諧振器中,該諧振器用作另一個具有損耗的PT反演諧振器。該裝置可以直接觀察從實本征頻譜到複本征頻譜的相變。PT對稱系統有兩個不同的相,一個是具有實特徵值的精確PT對稱相,另一個是帶有複共軛特徵值的破缺PT對稱相。特徵值和特徵向量合併的EP,將精確相與破缺相分離。當PT對稱矽微機械諧振器在EP下操作時,在機械耦合彈簧上引入的小擾動導致頻率從EP分裂到PT對稱區域,而不會加寬兩個頻譜線寬。頻率分裂與擾動強度的平方根成比例。因此,對於足夠小的擾動,PT對稱矽微機械諧振器靈敏度遠高於頻率偏移與擾動成正比的傳統諧振器靈敏度。把牛頓運動定律應用於耦合微機械諧振器,給出了耦合模方程。假定增益和損耗平衡,獲得了本征頻率和相應的模式。它顯示了PT對稱性系統中遇到的所有現象。以前EP傳感方案中的擾動會導致系統破缺,從而產生複數的頻率。本征頻率虛部的存在導致兩個相鄰譜線的加寬和進一步重疊,並對靈敏度施加了基本解析度限制。與以往的EP傳感方案不同,該文將外部擾動應用於耦合彈簧,外部擾動驅使PT對稱諧振器從EP移動到PT對稱區。因此,本征頻率及其分裂在工作過程中是實的。文中製造了一對機械耦合的矽微機械諧振器來證明上述理論。兩個諧振器都由雙端音叉(DETF)組成。增益諧振器使用平行板電容換能驅動和感測,而具有平行板電容換能的損耗諧振器僅用於測量。增益諧振器通過外部回饋控制進行主動調節。在外部回饋期間,諧振器運動被轉換為電容變化,導致電流變化,然後對其進行濾波、相移,並最終應用於驅動諧振器。連接到兩個DETF端部的蛇形彎曲梁實現弱耦合。彎曲梁的等效彈簧剛度可以通過靜電調節。實驗表明,頻率分裂與擾動強度的平方根成正比。儘管EP傳感方案的測量雜訊頻譜密度略大於傳統方案的雜訊頻譜密度,但總體而言,信噪比仍然大大增強。通過用加速度、磁和其他待感測信號代替試驗中的擾動,該方案可以在加速度計、磁力計和其他感測器中得到應用。
圖文導讀

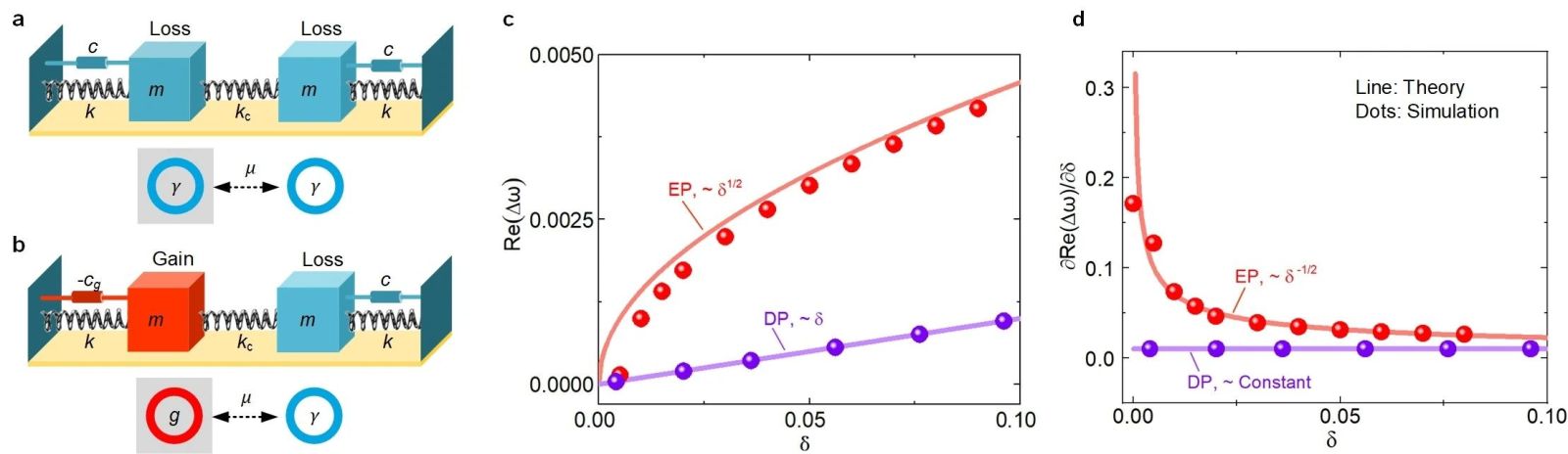
具有相同品質和相同剛度的兩個諧振器以耦合強度耦合,其中耦合彈簧常數為。a、 傳統方案。具有相同損耗的兩個耦合諧振器,其中c是阻尼係數。b、 PT對稱諧振器。一個具有損耗的諧振器和另一個具有等效增益g的諧振器。c,當耦合彈簧受到外部擾動時,在狄拉克點(DP)和奇異點(EP)工作的兩個耦合諧振器的頻率分裂的比較。EP諧振器的回應,而DP諧振器的回應。d、 頻率分裂對擾動靈敏度的比較。對於小擾動,EP諧振器的靈敏度相對於DP諧振器的靈敏度提高了一個數量級。在計算中,為EP諧振器設置增益/損耗係數和初始耦合係數。(c)和(d)中的線和點分別表示理論結果和模擬結果。

在SOI襯底上製造的兩個耦合DETF諧振器的SEM圖像。兩個諧振器通過蛇形彎曲梁(局部放大圖)連接而實現弱耦合,指狀對電極連接到錨。圖中了測量儀器及其連接的示意圖。AC驅動信號和回饋控制信號兩者同時施加到增益諧振器。使用連接到損耗諧振器的鎖相放大器來記錄頻率回應。所製造的諧振器在定制的真空室中進行測試。

a、 EP諧振器的頻率回應與擾動δ的關係:δ=0.9%、2%和3%。b、 EP(紅色)附近,頻率分裂的實部與擾動δ的關係。虛線表示擬合的平方根行為,填充的菱形表示實驗資料,誤差條表示由於外部電路導致的頻率測量的不確定性。為了進行比較,DP諧振器的結果顯示為棕色。插圖顯示了頻率分裂與δ關係的對數圖。EP諧振器表現出1/2的斜率,而DP諧振器表現出1的斜率。
.jpg)
欲了解Zurich Instruments鎖相放大器和更多的MEMS應用歡迎來信詢問!
參考來源
- 論文:https://www.nature.com/articles/s41378-023-00641-w
- MINE公眾號
- 编辑:郭潇威; 审核:Vin、ww; 指导:梧桐君。
- Zurich Instruments
免責聲明
轉載和節錄編需經MINE授權並標注原作者和資訊來源為《Microsystems & Nanoengineering》。本網站號發佈資訊旨在傳播交流,其內容由作者負責,不代表本號觀點。如涉及文字、圖片、版權等問題,請與我方聯繫,我們將第一時間處理。《Microsystems & Nanoengineering》擁有最終解釋權。